Campeonato España de lago 2017
El campeonato se celebró en Llanillo, consistía en 16 mangas de 45 minutos con descansos de 15 minutos entre mangas, con rotación de por lo menos una vuelta al lago por cada día. Se clasificaba por individual y por equipos de selecciones autonómicas, lamentablemente por navarra solo van dos participantes (Alfredo y Josetxo) perdiendo la opción a clasificar en equipo.
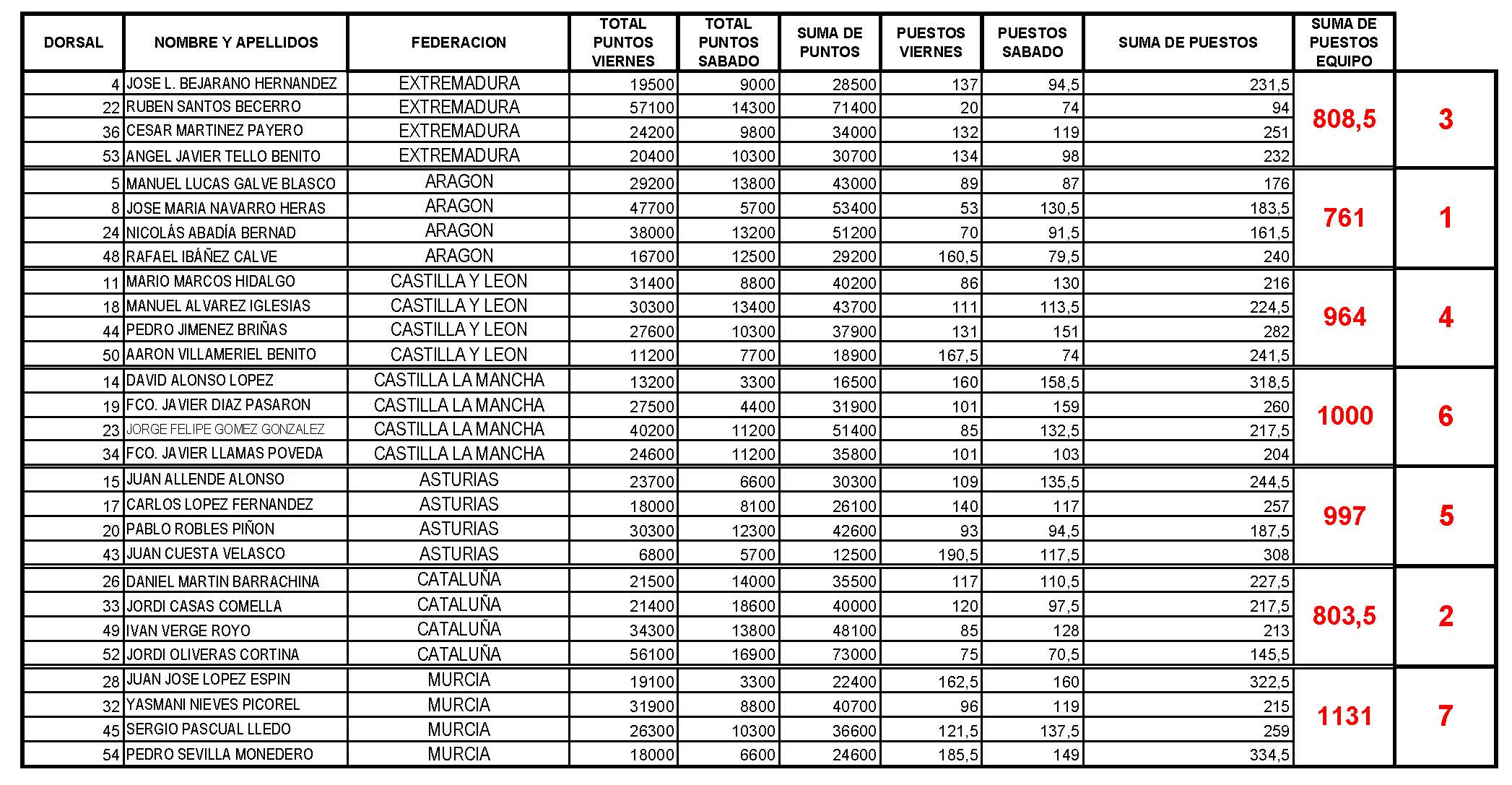
De las 16 mangas se controlan 4, puntuando cada pescador solo en 12 de ellas.
Jueves 23, llegada al hotel, reunión de delegados, sorteo de puestos y cena. Novedades: se prohíbe el uso del móvil durante todas las mangas de pesca incluido los descansos y cambios de tramo, evitando así la transmisión de información durante la pesca entre los integrantes de los equipo.
Viernes 24, Amanece contra pronóstico un día sin viento y despejado que duraría hasta la penúltima manga de las 8 que se realizaron el Sábado, en la cual cayó nieve y se levantó aire para volver a dar tregua durante la última manga del día, por lo que pasamos un día apacible y soleado en general.
Buenas y numerosas capturas durante todo el Viernes, obteniéndose la pieza mayor de 71,2 cm. (Jordi Casas - Cataluña).
Sábado 25, Amanece nevada la mañana sin excesivo frio (3-4 grados) pero pronto empieza a nevar con viento medio para no parar en todo el día, lo cual originó unas condiciones de pesca extremas, llegando a empapar las mejores prendas impermeables y todos los aparejos que llevamos a rastras, las orillas se embarraron haciendo muy incómoda la acción de pesca y el cobro de las capturas, a pesar de ello, todos los participantes aguantaron hasta el último segundo de la última manga, convirtiéndose en algo heroico para las condiciones atmosféricas. Las capturas fueron muchas menos que el días anterior y de menor tamaño por lo general. Decir que las truchas estaban muy fuertes y daban emocionantes peleas, muchas fueron las que se zafaron por partir los hilos de los terminales.
Sábado noche, Clasificaciones, felicitaciones, cena, entrega de premios y discurso de las autoridades.
Destacar que se han cambiado los responsables de Salmónidos de la Federación española, dando la impresión de gran mejoría y voluntad para mejorar las condiciones de sobre todo los competidores y pescadores.
Alfredo Rubio
Fotografías
